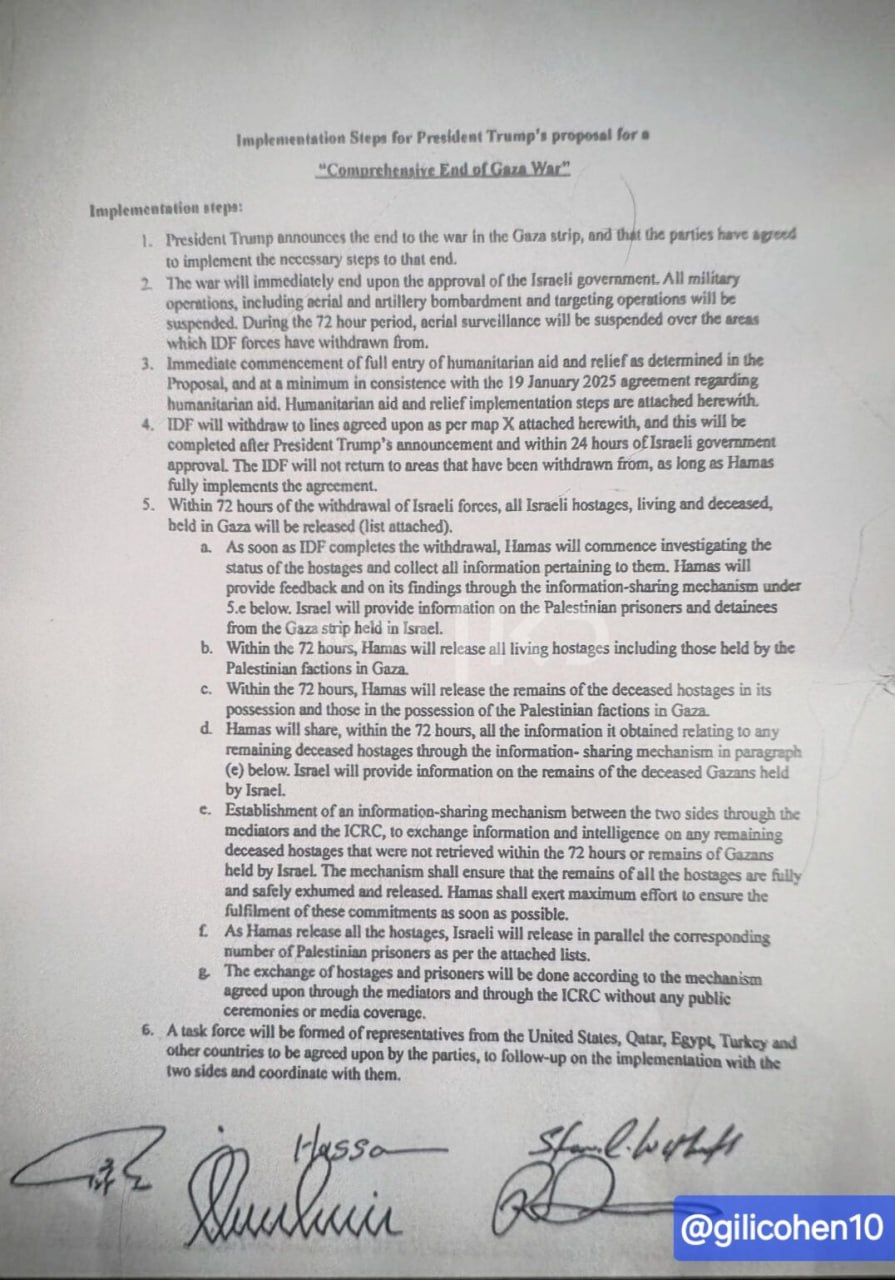
Копия соглашения, подписанного в Египте представителями Израиля, ХАМАС и посредниками:
— после объявления Трампа и одобрения соглашения израильским кабмином боевые действия будут немедленно прекращены;
— далее — масштабный ввоз гуманитарной помощи в анклав;
— ЦАХАЛ отведёт войска на согласованные линии. На это даются сутки. Армия обороны Израиля не вернётся в эти районы, пока ХАМАС выполняет соглашение;
— в течение 72 часов после этого ХАМАС освободит живых заложников и передаст тела погибших. Израиль параллельно выпустит согласованное количество палестинских заключённых;
— для контроля процессов сформируют рабочую группу из представителей США, Катара, Египта, Турции и других стран





































